2019년 3월 고2(가) 30번 문제입니다.
고등수학(하) 유리함수 문제가 질문으로 들어왔네요.
한 번 풀어보세요 ^^

풀이는 아래로 쭈욱~~~
사전학습은 다 하고 오셨죠? ^^
[고등(하)] 2019년 3월 고2(가) 30번 풀이 사전학습
2019년 3월 고2(가) 30번 문제입니다. 고등수학(하) 유리함수 문제가 질문으로 들어왔네요. 한 번 풀어보세요 ^^ 풀이는 아래로 쭈욱~~~ 많은 학생들이 합성함수가 포함된 문제들을 힘들어합니다. 처
naturalmath.tistory.com

우선 함수 g(x)를 그려보겠습니다.

자 이제 정의역을 감안해서 실선으로 그림을 그려보면

이제 f(g(x)) 그래프를 대강 그려보면

위에 유리함수 그래프를 보면 t가 점점 커지면 g(t+2)도 점점 커짐!
이제 아래 이차함수 그래프를 보면
g(t+2)가 점점 커지면 실선 부분이 점점 우측으로 이동!
그러다가 t가 1이 되는 순간부터 3이 될 때까지 f(g(x))의 최소는 6이 됨!

자! 이제 y=f(g(x))의 그래프에서 꼭짓점 ( 2, 6 )을 알아냈네요.
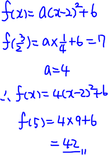
h(-1)=7에서 마지막 정보를 얻어보면

이제 얻은 정보들을 가지고 f(x)와 f(5)를 찾아봅시다.

이렇게 합성함수가 포함된 문제들의 경우에
합성함수를 구하려 하고 하지 말고
합성함수의 관계를 잘 연결해서 이해할 수 있도록
분리해서 함수들을 따로 그려보는 것이
합성함수를 이해하는 데 많은 도움이 됩니다.
이제 합성함수 그래프는 어렵지 않겠죠? ^^
진짜 수학을 만나다 : 네이버 블로그
원리와 개념에 맞게 생각하는 힘을 키우는 수학학원 상담문의 : 010-4626-0179 위치 : 복대동 지웰 시티 흥복드림몰 605호
m.blog.naver.com
| [고등(하)] 함수 - 일대일대응 (1) | 2023.11.10 |
|---|---|
| [수1] 지수함수 - 정수점개수 (0) | 2023.11.09 |
| [고등(하)] 2019년 3월 고2(가) 30번 풀이 사전학습 (0) | 2023.11.08 |
| [고등(하)] 순열과 조합 - 대진표 (3) | 2023.11.07 |
| [고등(하)] 순열과 조합 - 대진표 사전 학습 (1) | 2023.11.07 |