상세 컨텐츠

본문 제목

2025년 4월 고3 모의고사 미적분 30번

고등수학/고3

by NaturalMath 2025. 6. 24. 23:45

본문

반응형

킬러문항이니 쉽지는 않을 거지만,

한 번 풀어보실래요? ^^


 

 

 

 

 

 

 

 

 

 

 

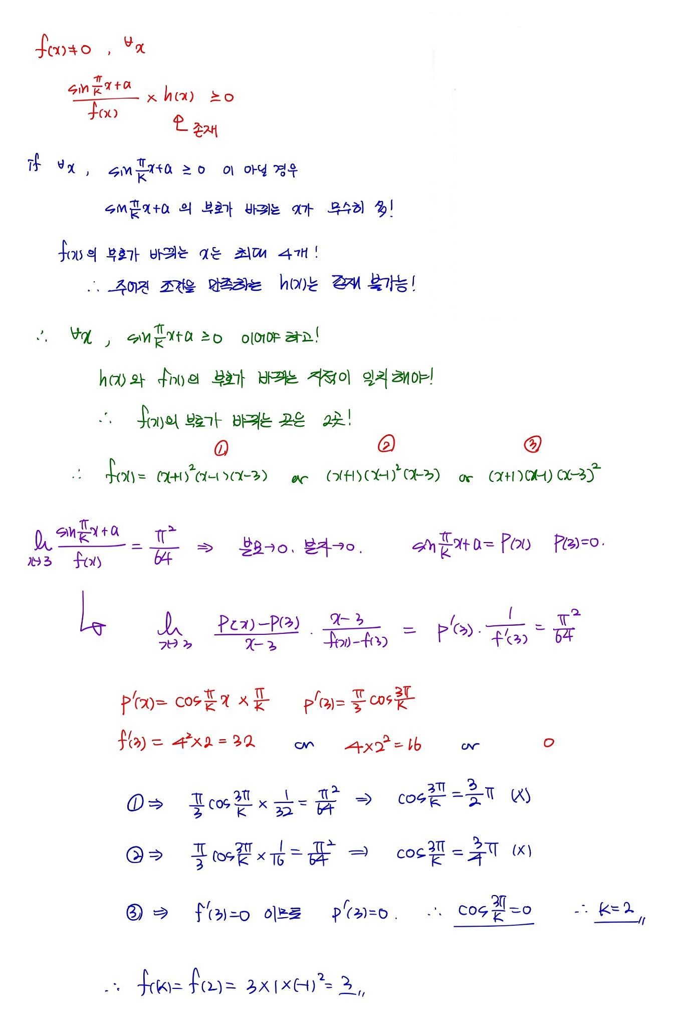
g(x)의 분자에 있는 삼각함수가

모든 실수에 대해서 항상 0보다 크거나 같다는 조건을 찾아내는 것이

첫번째 key point !

h(x)와 f(x)의 부호가 바뀌는 지점이

2곳뿐이라는 조건을 찾아내는 것도 key point!

항상 킬러문항들은

문항안의 조건들을 얼마나 잘 해석해 내느냐가 해결의 핵심임을 명심해야 합니다.

평소에 조건들을 해석해서 문제를 푸는 훈련을 많이 해야 할 것입니다.

화이팅!

 

728x90
반응형

관련글 더보기